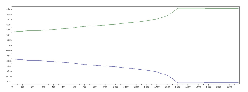
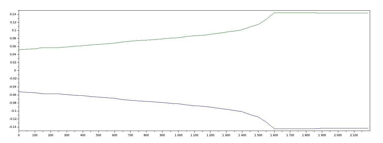
Spey головки для забросов на дальность с двумя разными развесовками:
Этот вариант имеет постоянное падение массы к передней части шнура, что сразу начинает сужать петлю.
Второй вариант развесовки имеет выделенный стартер, что дает резкое сужение петли на переднем конце стартера и эффективное сужение петли в начале разворота центральной части шнура.
Некоторые спортсмены на практике удлиняли стартер на 1-1.5 метра и получали увеличение дальности заброса.
Стреляющая головка для спортивных забросов на дистанцию в дисциплине 18' SPEY DISTANCE.
Выполнена по геометрии проверенного на практике кастомного шнура Анвара Мавлютова - многократного призера/победителя многих Российских соревнований.
Для удилищ Kola Salmon Valkirye 18' не требует никакой подрезки - только оснащения лидером и моно ранингом.
Петель не имеет, так как лидер для соревнований типично сращивают без петель, а для других удилищ, или особых условий, спортсмены могут подрезать сзади стартер.
Этот шнур представляет собой два передних конуса по 8 метров длиной от спортивного Spey шнура Gaelforce 2022 года(конуса сужаются в обе стороны от центра, одна сторона примерно на 0.1мм больше в диаметре).
Так как принципиально развесовка передних 8 метров таких шнуров не меняется(в основном меняются стартеры, их длина и геометрия), то этот шнур можно использовать для ремонта пары изношенных на тренировках или соревнованиях шнуров, а так же для конструирования собственных спортивных Spey шнуров.
Голова спей шнура, оптимизированная для соревновательной дисциплины Overhead Spey.
Многожильный плетеный корд 30LB.
Может быть использована как рыболовная для удилищ, работающий в Spey технике с весом 50-55 грамм (#10/11 - допустима небольшая подрезка задней части - с сохранением заднего "стартера").
Головка для соревнований в дальности одноручного заброса в дисциплине Sea Trout Distance.
- Длина головки: 20м,
- Вес: 27 грамм,
- Производство - UK,
- Развесовка головки:
слабо выраженный «bullet taper» с пологим длинным задним конусом и двух-компонентным передним конусом для принудительного сужения петли перед лидером при выстреливании.
Длина 20м обусловлена тем, что большую длину затруднительно поднять с воды в одно движение, что требуется, чтобы исключить процесс выпуска необходимой длины головы за тюльпан на соревнованиях. Можно подрезать головку с задней части на 1-2м для удобства заброса конкретным спортсменом.
Слабо выраженный эффект «bullet taper» логично использовать при тренировках дистанционного выстреливания и для соревнований, особенно, в условиях попутного ветра, так как слабая степень концентрации массы в передней части головки несколько увеличивает время полного разворота головки, то есть, время её полета.
Головка, так же, может использоваться - как «источник» тонких передних конусов для спортивной головки Competition Spey 80'. Для разных целей подходят оба конуса Sea Trout головки.
KOLA SALMON Спортивный нахлыстовый шнур Competition Spey Head 80' (80', 1200 grains)
Головка для соревнований в дальности заброса.
Параметры:
- Длина головки 24.25м, вес 80 грамм.
- Развесовка: по принципу развесовки, головка похожа на популярные шнуры Gaelforce Equlalizer
Extreme distance:
- a) тяжелое тело (starter), d = 2.79-2.83mm,
- b) 2м конус, - с быстрым падением массы, где происходит сложение петли,
- c) более тонкая передняя часть c плавным конусом.
- Корд: плетеный многожильный, 30LB
- Цвет: pale orange
- Производство - UK
Передние 15м выполнены на 20% более тяжелыми, чем на Equlalizer, что позволяет донести больший момент на переднюю часть шнура. Большая масса и момент при развороте передней части шнура способны в большей мере тащить за собой уже развернувшийся starter.
Так же, более тяжелая средняя часть шнура позволяет значительно удлинять шнур вперёд, вплоть до 28м итоговой длины, что позволяет собрать спортивный шнур под любые удилища, (включая 18'), и, с учетом правил соревнований.
Высокое качество изготовления гарантирует повторяемость геометрии головок от экземпляра к экземпляру и высокую износостойкость, что важно при регулярных тренировках.
В оригинальном варианте (как есть, без подрезки), головка может использоваться с удилищем KOLA SALMON Valkyrie 18' для забросов из неглубокой забродки.
Для удилищ 15' #11/12 можно подрезать starter с задней части, в зависимости от условий соревнований. Под условия Spey-O-Rama отрезается примерно 2.5м до веса 65 гр. Рекомендуется выполнять подрезку постепенно, аккуратно подгоняя длину и вес под свои снасть и возможности.
Голова выполнена на многожильном плетеном корде 30LB, что позволяет подрезать ее и под рыболовные удилища 9-11 классов и использовать для ловли лососевых.
Различные варианты изменения длины головки с удлинением передней части можно получить используя головки Kola Salmon SeaTrout Distance. Причем, подходят и передний и задний конуса от Kola Salmon SeaTrout Distance головки.
Для удлинения Comp80' вперед до 2х метров:
2-2.5 метра переднего конуса Comp80 заменяются на 3.6-4м переднего конуса ST головки
Для удлинения Comp80' вперед до 3.8 метров:
2-5.8 метра переднего конуса Comp80 заменяются на 4-9.4м заднего (пологого) конуса ST головки.
С заменой части переднего конуса на фрагмент головки SeaTrout можно получить шнуры со значительно разным весом и длиной, но сохраняющих типичное поведение. Это может быть удобно с целью выполнения забросов удилищами 9-10-11-12-13 классов из разных условий.

Этот шнур спроектирован для удилищ длиной до 18-ти футов. Кончик или задняя часть шнура могут быть подрезаны для более коротких удилищ. Профиль шнура сделан в соответствии с международными стандартами, где максимальный диаметр шнура – 2,5 мм.
Оплетка шнура изготовлена из специального плавающего пластика с высоким удельным весом.
- Type A - 30.0 m Вес шнура 73 грамма, максимальный диаметр 2,48 мм
- Type B - 28.0 m Вес шнура 75 грамм, максимальный диаметр 2,48 мм
-

Extreme Distance - это шнур, обладающий
характеристиками спортивных шнуров,
которые используются на соревнованиях
в таких дисциплинах как: Trout Distance и
Trout Accuracy.
Extreme Distance - это шнур, обладающий
характеристиками спортивных шнуров,
которые используются на соревнованиях
в таких дисциплинах как: Trout Distance и
Trout Accuracy.
Однако, Extreme Distance имеет существенные преимущества перед его
аналогами, являясь более бюджетным решением и обеспечивает полную
повторяемость формы.
Длинная голова шнура (20 м) имеет очень плавное смещение массы в
переднюю часть, что позволяет использовать шнур как для выстреливания
из положения 21-22 м за тюльпаном, так и из положения удержания в воздухе
максимальной длины (26-27 м), что позволяет эффективно тренироваться
и адаптировать технику под погодные условия.
Шнур создан для увлекающихся спортом нахлыстовиков: характеризуется особой
износостойкостью и является доступным шнуром для тренировок и локальных
соревнований. Выполнен в ярком флуоресцентном оранжевом цвете.
Однако, Extreme Distance имеет существенные преимущества перед его
аналогами, являясь более бюджетным решением и обеспечивает полную
повторяемость формы.
Don’t let the name fool you. This is an amazing trout fly line masquerading as a competition line.
Designed with an extra-long head and rear taper, the Mastery Expert Distance is excellent in the wind, provides smooth distance casting, and lets you throw mends you didn’t think were even possible. Sure, you can win a casting competition with it, but isn’t it more fun to catch fish?
Extra-long head and tapers allow smooth long-distance casting and excellent long-distance line control
Compound head design ensures strong turnover at distance
Great in the wind
Braided multifilament core
Применение:
- Комфортный заброс и отличная презентация на всех дистанциях
- Отлично выстреливается и хорошо контролируется в воздухе на любых дистанциях
- Хорошо адоптирован для заброса крупных мушек на большие дистанции
- Позволяет использовать кольцевой заброс и перекладывать шнур на воде(mending), как и ДТ шнуры, но при этом хорошо выстреливается для достижения больших дистанций.
Геометрические характеристики:
- Сверх длинная сложной геометрии голова имеет некоторое смещение массы в переднюю часть. Это позволяет несколько отсрочить разворот петли при забросе на большие дистанции и неплохо справляться с забросом крупных приманок.
- Длинный передний конус для мягкой презентации.
- Длинный задний конус и ранинг позволяют отлично контролировать шнур при забросах на различные дистанции
Корд:
- Плетёный многоволоконный нейлон с добавлением пузырьков воздуха с целью уменьшить эффект «памяти» и уменьшить плотность.
Покрытие:
- Пластик 3M с улучшающим скольжение, фирменным покрытием AST.
- Слегка увеличенная плотность пластика позволила уменьшить диаметр шнура, что упрощает забросы на большую дальность.
- Повышенная жесткость пластика уменьшает трение и увеличивает срок службы шнура.
Цвет:
| WT |
TIP |
FRONT TAPER |
FRONT BELLY |
REAR ELLY |
REARTAPER |
RUNNING LINE |
HEAD LENGTH |
TOTAL LENGTH |
| 4 | 0.5' | 12.0' | 16.7' | 12.7' | 25.0' | 38.6' | 66.4' | 105' |
| 5 | 0.5' | 13.0' | 17.2' | 13.2' | 25.0' | 36.6' | 68.4' | 105' |
| 6 | 0.5' | 14.0' | 17.7' | 13.7' | 25.0' | 34.6' | 70.4' | 105' |
| 7 | 0.5' | 15.0' | 18.2' | 14.2' | 25.0' | 32.6' | 72.4' | 105' |
| 8 | 0.5' | 16.0' | 18.7' | 14.7' | 25.0' | 30.6' | 74.4' | 105' |
| 9 | 0.5' | 17.0' | 19.2' | 15.2' | 25.0' | 28.6' | 76.4' | 105' |
Замечание fly-fishing:шнур с длинной головой, управление которой требует от рыболова приличного владения техникой заброса.
Floating. Intermediate. Sink Three. The Comp F.I.S.T. fishes deeper and slower than others because of its triple density construction. And it fishes tip down in the water column - creating a straight line from rod tip to fly. Features Power Core and printed, color-coded, welded loops for easy line identification.